Yield Note
FinPricing offers:
Four user interfaces:
- Data API.
- Excel Add-ins.
- Model Analytic API.
- GUI APP.
FinPricing provides valuation models for:
All the equity models in FinPricing take volatility skew/smile and dividend into account.
| 1. Callable Yield Note Valuation |
A yield note is a principal-protected structured note that pays periodic coupons that are linked to the performance of a basket of equities. A callable yield note gives the issuer the right to recall the note on specific observation dates. Once recalled, the cancellation coupon is paid, the notional is returned, and the deal is cancelled.
The auto-call feature limits the total return paid to the buyer by automatically cancelling the note once the return of the worst performing asset is above the trigger (threshold). If the cancellation event is not triggered, the payoff on each payment date is equivalent to a spread-adjusted reference rate.
If the note is not called prior to the maturity date, the last coupon is paid and the principal is returned. The note provides investors with potential interest payments during the life of the note, along with conditional downside principal protection, based on the performance of the underlying assets.
Callable yield note usually pays a higher coupon or interest rate to investor. However, the event of the call of the note is uncertain to the investor. It is note only linked to the level of a basket of underlying assets, but also to volatility, correlation, dividends, and yield curve.
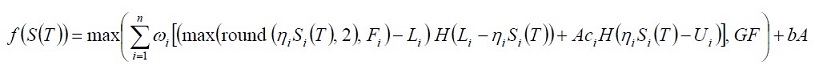
The yield note basically is a compound basket option with a capped positive and negative return. The payoff function is defined in terms of three strike prices: a floor strike, Fi, that limits the negative return on each underlying asset in the basket; a lower strike, Li, that sets the boundary below which the return is negative; and an upper strike, Ui, above which a fixed coupon is paid.
The payoff is given by:

where ωi is the relative weighting assigned to each asset in the basket; ζi is the quantity of each asset per option; GF is the global floor; and H(x) is the Heaviside function. The payoff also may include a coupon that is paid regardless of the performance of the basket.
In addition to the aforementioned strike levels, the new path-dependent Yield note payoff includes an autocall barrier that caps the total return paid to the holder. On each payment date the note holder receives a coupon with value determined on the preceding reset date by the standard Yield note option payoff, with one minor modification that is described below.
However, if the total accumulated coupon on a given reset date is equal to or greater than the autocall barrier, the note is immediately cancelled and a final coupon is paid, either in full or in part, depending on the note terms. If the note is specified as principal protected, the principal is also returned to the holder at this time.
If the note is not called prior to the final reset date, the last coupon is paid and, if appropriate, the principal is returned. The new payoff function also includes an optional rebate coupon that replaces the guaranteed coupon term. If the note expires without paying any coupons, the holder is eligible to receive the rebate. Within the model, all coupons are priced together in a single routine due to the path dependency of the payoff. This differs from the standard Yield note payoff, for which each coupon was treated as a separate option.
The payoff function described above can be extended to quanto options, in which one or more of the underlying assets are denominated in a currency other than that used to value the option. In such cases, the currency-dependent parameters, including FX rates, FX volatilities, and correlations between FX rate and asset price, are passed to the quanto version of the Monte Carlo simulation engine.
The only market data directly used by the payoff function are the spot prices of each underlying asset. All other market data are passed to the appropriate version of the simulation engine. These data include implied volatilities, projected future dividends, and correlations between assets; for quanto options the FX rates, FX volatilities, and correlations between stock and FX processes are also required.
The most general application of the payoff model is a strip built from Yield note components. There also are a number of specialized products that are based on the Yield note instrument.
The simplest product is the original Yield note. This option has a lower strike equal to the upper strike and floor strike equal to zero. Historically, the minimum coupon payment was set to zero, although this condition has been relaxed in the latest implementation of the model. The product is structured such that a component matures in each year during the lifetime of the instrument. For each component, payment generally occurs three business days after it matures.
Another product valued with this model is the Multiple Yield note. This instrument is similar to the original Yield note, except a single payment is made for all maturities. This payment occurs on a specified date after the expiry of the final component. As with the original Yield note, it is typical for one component to reach maturity each year. The product usually has a non-zero minimum coupon, although this may not always be the case.
A third product that is valued with the model is the Double Strike Yield note. This is similar to the original Yield note, but the upper and lower strikes are not equal. The product may also pay a non-zero minimum coupon. Note that there is no practical purpose for differentiating between the original Yield note and the Double Strike Yield note other than for historical reasons.
The model can also be used to value the Floored Strike Yield note. This product is similar to the Double Strike Yield note, but with a non-zero floor strike. It may also pay a non-zero minimum coupon. The floor strike has the effect of minimizing the downside on the internal options, and thus should increase the value of the instrument to the holder.
| 2. Related Topics |