Correlation Swap
FinPricing offers:
Four user interfaces:
- Data API.
- Excel Add-ins.
- Model Analytic API.
- GUI APP.
FinPricing offers the following correlation swap models:
| 1. Correlation Swap Introduction | 
A correlation swap is a derivative that pays the buyer the difference between the realized correlation of a basket of stocks and the strike at maturity. The realized correlation has two main components: historical correlation part and future realized correlation part. The current correlation swap strike level on the market is equal to the expectation of future realized correlation part.
The payoff of a correlation swap is the notional amount times the difference between the realized correlation and the strike price. The strike is set at inception date. Some correlation swaps may include a provision for capping/flooring the realized correltion that makes the payoff option-like.The correlation swap can also be thought of as a forward contract on realized correlation of a basket made of a fixed number of stocks.
A correlation swap is a good tool for investors to hedge and manage correlation risk. They can also be used for speculating future correlations.
| 2. Correlation Swap Valuation | 
The payof of a correlation swap is given by:
Valuation of the correlation swap involves decomposition of the contract into two periods, one that has become historical, and the other with stock prices still unknown.
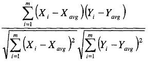
The historical correlation of the basket is computed as the average of the pair-wise correlations in a basket of stocks. The inital strike is set at initiation and stays constant during the life of the swap.
The pairwise correlation is

In addition to the realized crrrelation, the implied correlation is also needed. The implied correlation can be thought of as the market price of future correlation that can be backed out from observed correlation swap prices or dealer quoted markets.
In other words, the implied correlation from the valuation date to the swap maturity can be estimated using the current correlation swap strike level on the market for exactly the remaining swap period, if this is available. Otherwise, a replication method might be attempted.
Then the total correlation can be calculated using a weighted average of the realized and implied correlations. The value of the correlation swap is computed via simulated implied correlation path. The distribution is assumed to be Normal.
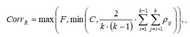
Suppose there are n consecutive trading days, and there are k underlying stocks. At the maturity of a correlation swap, the realized correlation is defined as

where ρ is the correlation between stocks S_i and S_j, and C and F are contractual cap and floor levels. The payoff 
of the correlation swap at maturity T is given by

where N is the notional amount and K is the delivery (strike) price for correlation swap. R(t,T) is the continuously compounded interest rate applying on [t, T], with day count convention (DCC) function τ, and df(t,T) is the discount factor at t for maturity T.
The value of the correlation swap at time t is then

The computation of the expectation in the above formula is difficult: firstly, because of the existence of a cap/floor where the expectation operator cannot bypass them, and secondly, even if there are no caps or floors, because of the estimation of the expectation of the future realized correlation component.
| 3. Related Topics |