Callable Exotics
FinPricing offers:
Four user interfaces:
- Data API.
- Excel Add-ins.
- Model Analytic API.
- GUI APP.
FinPricing provides valuation models for:
During the lifetime of a structured product, some events may happen that affect its value. Generally, these events can be grouped into two groups as follows.
Payment events are made to one of the parties in the deal. Market observables that the payment depends on are fixed on a fixing date, and the amount to be paid is accrued over the accrual period, specified by start and end dates. In practice the dates are rolled according to rolling conventions and holiday calendars used, so one refers to adjusted and unadjusted dates. The significance is that, intuitively, a payment is made for the period between unadjusted start date and unadjusted end date.
Callable events make the remaining part of the trade potentially be cancelled as a result of a trigger condition or an exercise option. Commonly there is a penalty or redemption payment associated. The decision to exercise is made, or the trigger condition is checked on notice date, and the callable takes effect on the effective call date. In most cases, once a call occurred, no payments are made after the effective call date. Similarly to a fixing date, notice date is always adjusted, and similarly to start and end date, one can talk about adjusted or unadjusted effective dates.
Practitioners commonly think that each payment is made for a period and a callable event cancels all periods starting from the next one. In contrast, generic products normally only refer to one date per event. In practice, the date chosen is usually the first date at which all the information is available to calculate the payment value or make a decision to cancel. Thus fixing date is normally the event date for payment events and notice date is normally the event date for callable events.
In a call event, the value of optimal call strategy is computed. This is essential for pricing callable and trigger-type products. In practice even for callable products the decision to exercise will depend on the current state of the market, and so these are often modeled by introducing some kind of exercise boundary, i.e. a function of market observables describing a multidimensional boundary beyond which it is optimal to exercise.
Many derivatives have callable features. Typical callable exotics are covered by FinPricing above. Callable exotics are among the most challenging derivatives to price. These products are loosely defined by the provision that gives the holder or issuer the right to call the product after a lock-out period.
We assume existence of a predicate indicating, when computed for a particular call event, whether call occurred. Most callable products have Bermudan style, that is, we will assume that the decision to cancel the deal must be made on one of the set of pre-agreed dates. This type of products fit naturally within the structure of generic products definition, and we are still to come across a realistic product that cannot be described in terms of a finite set of dates.
Depending on whether the valuation environment is backwards looking (Monte Carlo) or forward looking (backwards induction engines), value of a callable note is calculated differently and the two cases will be considered separately.
When implementing optional call using numerical methods it is common to compare the values of the product when call occurs and when it does not. The two quantities are also useful in computing the value of a callable note, it being the difference of the two.
The callable value of a product for a particular call event date on a particular callable note, is the value of the callable note if call does occur on that event date and on that note.
The continuation value of the callable note is the total value of the note when it is not called. It can now be seen that the value of a callable note is the expectation of a difference between continuation value and cancellation value for that note and for the event date when call occurred.
| 1. Callable Capped Floored Swap | 
A capped-floored swap or collared swap is a swap contract with two legs in which one leg is a regular funding leg and the other one is a cap-floor (structured) leg. The coupon rate of the capped-floored leg is an affine linear function of a selected index rate and it may be capped and/or floored. Typical index rates are LIBOR rates and CMS rates.
A callable capped-floored swap is a capped-floored swap in which the party paying the coupon (structured) leg has the right to cancel on any coupon date after a lock-out period expires.
From the viewpoint of the receiver, we can price the callable capped-floored swap as the capped-floored swap minus the Bermudan option to enter into the receiver capped-floored swap.
For a capped-floored swap, a closed-form solution based on Black’s model is sufficient. But to price a callable capped-floored swap, one may need to use a term structure model to solve for the optimal exercise boundary.
In practice even for callable products the decision to exercise will depend on the current state of the market, and so these are often modeled by introducing some kind of exercise boundary that is a function of market observables describing a multidimensional boundary beyond which it is optimal to exercise.
Most callable exotics have bermudan style events, i.e., the decision to cancel the deal must be made on one of the set of pre-agreed dates. This type of products fit naturally within the structure of generic products definition language, and we are still to come across a realistic product that cannot be described in terms of a finite set of dates.
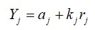
Assume that there are total n future cash flows in the structured leg; An affine linear function of the index rate for the j-th period can be defined as

where r_j is the floating rate set in advance at t_j for period T_j-1 and T_j; a_j is the spread; k_j is the scale factor.
The structured rate Y_j is capped and/or floored. For k_j > 0, it is called a cap-floor swap. For k_j < 0, it is called an inverse floater. k_j = 0 should never happen.
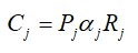
Suppose that the structured leg pays n coupons over its life. The coupon for the j-th period is given by

where P_j is the notional and a_j is the accrual factor.
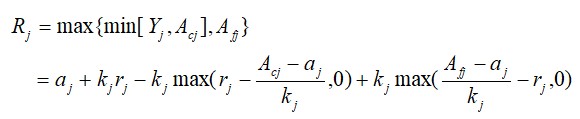
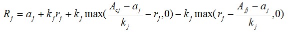
The coupon rate for k_j > 0 (cap-floor swap case) is given by

where A_cj is rate cap and A_fj is rate floor.
The coupon rate for k_j < 0 (inverse floater case) is given by

Pricing a callable cap-floor swap can be decomposed into pricing a non-callable capped-floored swap and pricing the Bermudan option on the corresponding remaining capped-floored swap. The first key step is to calculate the expected structured coupons. The option, either of European type or Bermudan type, on the cap-floor swap is calculated by using numeric approach.
| 2. Callable Range Accrual Note | 
A range accrual note is a principal-protected note that pays out a series of coupons based on the performance of an underlying stock, index, or basket of assets. The holder receives these oupons on a set of scheduled payment dates, but only if the value of the underlying asset on that date is between a lower and upper threshold.
The coupons are effectively a series of digital-style options that pay a fixed amount when the asset price is within the specified range.
A callable range accrual note contains an embedded option that allows the issuer to exercise a call on the note on a set of dates prior to maturity. On these exercise dates, the issuer may purchase the note back from the holder for a predetermined cash amount. When a call is exercised on a coupon payment date, the coupon for that date is still paid to the holder.
| 3. AutoCallable Note | 
An autocallable notes are usually issued on a basket of stocks. It may contain auto call provision, range accrual provision, and maturity barrier provision. All the provisions are based on basket levels. These levels can be independent of each other.
For instance, an autocallable yield generator note that provides periodic coupons that are linked to the performance of a basket of equities. There is a knock-out barrier level for the total coupon amount; if reached, the notional is returned and the deal is cancelled.
| 4. Reverse Convertible Autocallable Swap | 
There are several swap dates. On each swap date, two parties exchange a floating coupon with a fixed coupon. On certain coupon dates, the swap may be cancelled. Should the swap be cancelled on coupon date t, the coupons due on coupon date t will be paid and all further cash flows are terminated.
Callable is based on a single reference asset. The swap is called if its price at some observation date, relative to its initial price, exceeds the cancellation trigger level. The initial price is averaged over a short period after inception of the deal. This averaged price may be ‘reset’; that is, should the stock price on some ‘reset date’ be lower than the previously averaged price, the initial price is replaced by the price on the reset date.
The fixed coupon can vary between two states: a high coupon and a low coupon. Each coupon date is preceded by a corresponding ‘fixed coupon observation date’, which determines the size of the fixed coupon. If the stock drops below the ‘fixed coupon barrier’ on the observation date, the low coupon will be paid; otherwise, the high coupon is paid instead.
Should the structure remain alive up to maturity, the floating coupon receiver receives a put option on the reference asset. This put option must first be ‘knocked-in’ by the reference asset having fallen below some barrier on one or more of its observation dates.
| 5. Related Topics |